Skip to main content
  • Experts
  • Events
  • Briefing Book
  • Resources
  • About
  • Contact
  • Support
  • Fiscal Facts
Twitter
Facebook
Logo Site
  • Topics
    • Individual Taxes
    • Business Taxes
    • Federal Budget and Economy
    • State and Local Issues
    • Campaigns, Proposals, and Reforms
  • TaxVox Blog
  • Research & Commentary
  • Laws & Proposals
  • Model Estimates
  • Statistics
  • Features
Tax Policy Center

Statistics

Browse Statistics

  • Estate and Gift
  • High-Income
  • Individual
    • AMT
    • Brackets
    • Credits
    • Current Statistics
    • Deductions & Exemptions
    • Historical Data
    • Sources of Income
  • Payroll
  • Personal Wealth
  • Statistics
  • Overview
    • Tax Burden
    • Composition of Taxes
    • Federal Receipts & Outlays
  • Low-Income
    • EITC
    • Poverty
  • Corporate
  • Excise
  • State
    • Federal Tax Components and Credits by State
    • State Revenues and Expenditures
    • Main Features of State Tax Systems
  • International
  • Administration and Compliance

You are here

  1. Home
  2. Statistics
  3. Excise

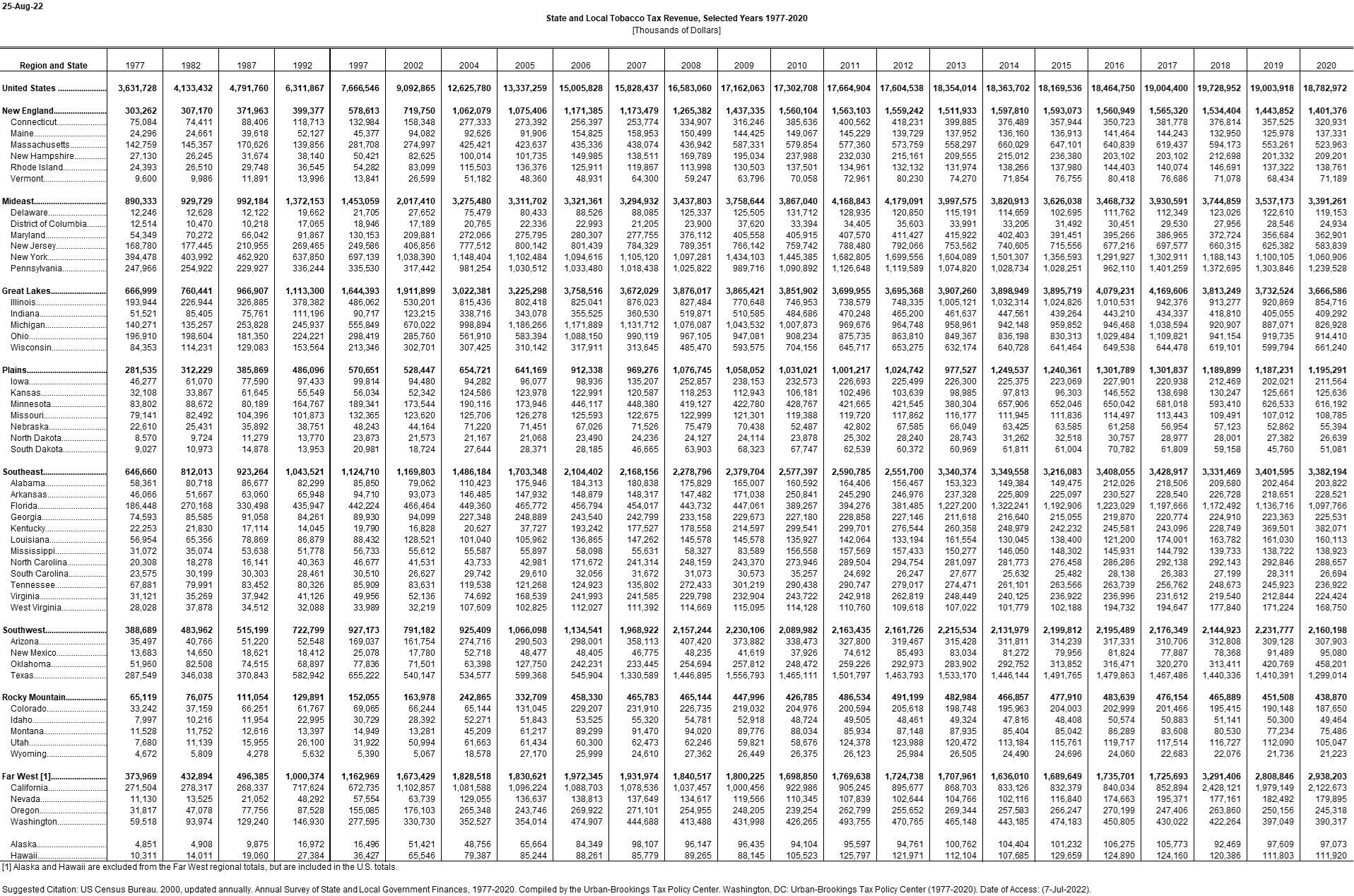
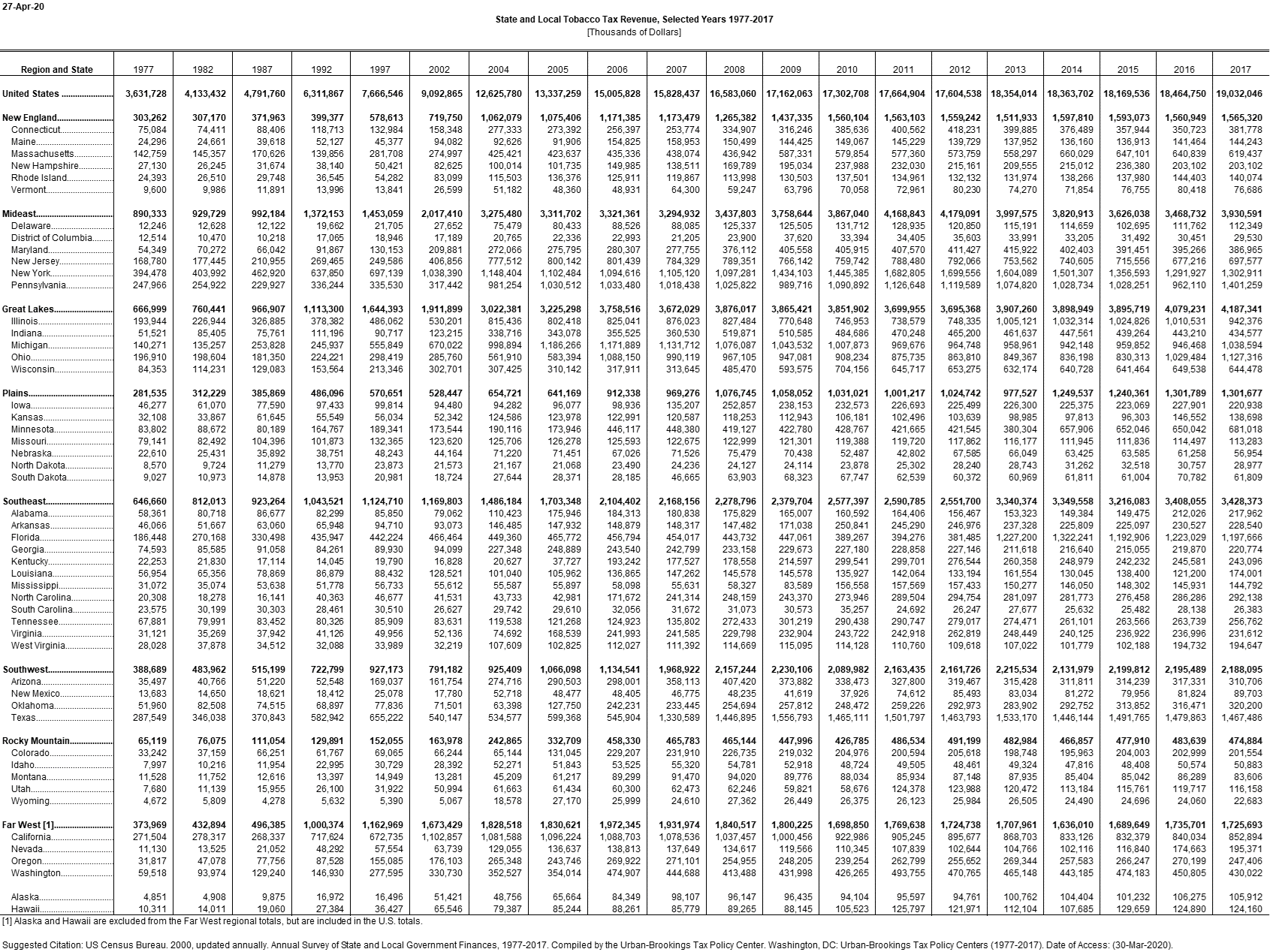
State and Local Tobacco Tax Revenue

1977 to 2017
application/pdf Download tobacco_rev.pdf (115.04 KB)
application/vnd.ms-excel Download tobacco_rev.xls (43 KB)
June 18, 2020
Individual Taxes, State and Local Issues
  • Donate Today
  • Topics
  • TaxVox Blog
  • Research & Commentary
  • Laws & Proposals
  • Model Estimates
  • Statistics
  • Privacy Policy
  • Newsletters
Twitter
Facebook
  • © Urban Institute, Brookings Institution, and individual authors, 2020.